ГДЗ Алгебра 8 класс Кузнецова, Муравьева, Шнеперман, Ящин - Учебник «Народная асвета»

Чтобы хорошо усвоить одну тему требуется всесторонне изучить правила, потренироваться в выполнении заданий, повторить и закрепить ее. В школах же сейчас работают совершенно по другому принципу. Изначально учитель ограничивается лишь общим представлением материала, а затем дети приступают к практическим работам. Следующий же урок, как правило, характеризуется знакомством с новой тематикой. Все это не дает возможности хорошо закрепить знания. Поспособствовать заполнению пробелов может решебник к учебнику "Алгебра 8 класс" Кузнецова, Муравьева, Шнеперман.
Параметры данного сборника
Пособие подразделяется на шесть частей, так же есть и дополнительная часть посвященная повторению всего пройденного, которая содержит сто восемьдесят пять упражнений. Все номера имеют детальные пояснения и доскональные ответы, которые основательно проработаны авторами. ГДЗ по алгебре 8 класс Кузнецова не раз пригодится учащимся во время учебного года.
Что может дать решебник
Данная дисциплина не очень легко усваивается, так как в ней имеется множество нюансов, которые затрудняют учебный процесс. Но освоить их необходимо, так как без этого вся последующая информация будет плохо восприниматься. В итоге получится своеобразный дефицит, при котором вроде бы и знания будут, и воспользоваться ими будет крайне трудно. Большой упор в школах сейчас делается на освоение практических навыков, в то время как без теоретических сведений они не имеют особой цены. Даже если ученик и сможет решать аналогичные упражнения и задачи, то вот грамотно изложить, чем он при этом оперировал - навряд ли. Именно поэтому решебник к учебнику "Алгебра 8 класс" Кузнецова может оказаться тем самым звеном, которое поможет увязать все необходимые навыки. "Народная асвета", 2015 г.
Похожие ГДЗ Алгебра 8 класс
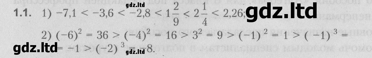
Название
Условие

Решебник №1

Решебник №2
